兴国必先强师,教师是立教之本,兴教之源。习近平总书记强调:“好老师要做到学为人师,行为世范”、“真正把为学,为事,为人统一起来,当好学生成长的领路人”。
欧美日逼视频教师们不忘初心,砥砺前行,投身土木工程各领域科技前沿,全面贯彻党的二十大和两会精神,不断提高自身科技创新“硬实力”。立德树人,修身治学,开拓创新,努力做到“为学,为事,为人”相统一,以蓬勃朝气和向上力量为中国式现代化建设和“双一流”人才培育助力。
从即日起,“耀熠土木——优秀师生风采展”系列推文将在欧美日逼视频官网和官方微信公众号全面上线,直面学院教师,聚焦立德树人、科学研究和社会服务,促进学院发展。本期让我们了解宋侨讲师。
个人简介
宋侨,湖南常德人,1993年3月出生,工学博士,讲师。2021年6月毕业于广西大学土木工程专业,2021年8月进入深圳大学从事博士后研究工作。2024年3月进入湘潭大学欧美日逼视频从事教学、科研工作。

科学研究
围绕土木工程全寿期安全保障与综合性能提升面临的关键问题,重点研究基础设施智能设计建造,主要从事机器学习在土木工程中的应用、自修复混凝土材料的智能仿真、断裂过程的扩展有限元方法等研究。参与国家重点研发计划政府间项目,国家自然科学基金项目,深圳市基础研究面上项目,工程防灾与结构安全教育部重点实验室项目。在《Construction and Building Materials》、《Journal of Building Engineering》、《Acta Mechanica Solida Sinica》、《Materials》、《广西大学学报(自然科学版)》等国内外知名期刊发表论文14篇,其中一作及通讯论文7篇。代表性研究工作如下:
一、混凝土复合型断裂行为模拟
对于混凝土构件而言,I-II复合型断裂是常见的一种断裂形式,为防止断裂失效的发生,有必要对复合型断裂问题的裂纹扩展规律进行研究。I型断裂问题中,应力形式单一,根据Irwin理论,裂纹将沿着原来的方向扩展,基本的断裂参量可以通过解析的方法或者简单试验即可获得。对于复合型断裂问题,混凝土的破坏与裂纹的发展紧密相关,裂纹尖端应力形式较为复杂,扩展路径难以预测,用解析法和试验法分析整个断裂过程较为困难,因此采用数值模拟分析混凝土复合型开裂行为。编写扩展有限元程序,结合最大周向应力准则,对不同形式混凝土剪切梁的断裂试验进行数值模拟,计算不同尺寸的混凝土试件在起裂状态下的应力强度因子以及最终的断裂角,还原混凝土复合型梁从裂纹萌生、到扩展直至破坏的完整过程。

二、微胶囊自修复材料断裂行为模拟研究
基于仿生学原理研制开发具有自修复能力的智能结构一体化混凝土系统,能够自动地对混凝土结构中微损伤部位进行定位和即时修复,提高混凝土结构性能,从而引起土木工程界的重视。混凝土材料的仿生自修复是模仿生物组织损伤愈合的机能,在水泥基体中预埋入特殊组分,形成智能型自修复系统。在基体产生损伤裂纹时,埋植于内部的修复体系在力、热或化学破坏下释放修复剂,黏结封堵裂纹,阻止裂纹进一步扩展,从而达到修复目的。
微胶囊自修复技术的自修复过程是通过含有愈合剂的微胶囊,与聚合物基复合材料中具有催化活性的化学物质催化反应完成的。当聚合物基复合材料受到损伤时,利用微胶囊的自感知以及裂纹尖端的应力集中作激励,使微胶囊破裂,通过毛细管作用修复剂被释放至受损区域,当修复剂与预先埋置在基体中的催化剂接触时发生聚合反应,粘接裂纹表面从而使受损区域得到修复,从而有效阻止微裂纹的继续扩展,大大提高复合材料的使用寿命,降低维修与维护成本。

图2 微胶囊的光学显微镜图像和SEM图像

图5 微胶囊的典型断裂模式

图6 微胶囊失效模式的临界断裂面
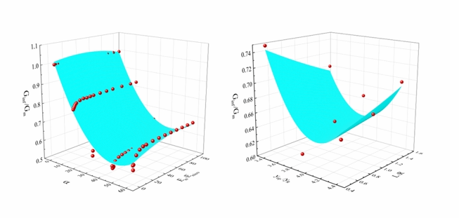
三、 机器学习预测微胶囊体系力学性能
机器学习自诞生后至今,主要分为回归预测与识别分类两个研究应用方向,已经被广泛地应用于各个不同的研究领域当中。利用机器学习算法能够在大量数据中进行多因素、多变量关系模型的拟合与结果预测,并且在非线性分析和研究中能够取得相对优秀的效果。目前对于微胶囊自修复材料的力学性能预测研究较为缺乏,微胶囊在基体材料中的破坏行为较为复杂,难以用传统的数值方法进行预测。因此可以借助机器学习模型,以主要影响因素作为输入特征变量,建立微胶囊失效参数的回归预测模型,并评估不同输入特征参数下对断裂参数的影响。

图7 ANN模型中,MSE随着迭代次数的变化

图8 人工神经网络模型预测临界断裂能之比的性能
宋侨老师电子邮箱:guxier@163.com